Site hosted by Angelfire.com: Build your free website today!

FRACTIONS 

AUDIO

What is a Fraction?

A fraction is a number that represents a part of an entire group.

Note:  Each part is equal in size.

  • There are only four operations you can perform with fractions! I will teach you how to perform each of the operations.
  • In the first half of this lesson, I will teach you to 1) add fractions, 2) subtract fractions, 3) multiply fractions, 4) divide fractions, and 5) work with mixed numbers and improper fractions.
  • In the second half of this lesson, I will teach you to 1) convert and simplify fractions, 2) convert fractions to decimals, 3) compare fractions 4) cross multiplication, and 5) complex fractions.

Fractions are written in the form or a/b, where a and b are whole numbers and the number b is not 0.  The preferred notation is generally .

The top number a is called the numerator.  The bottom number b is called the denominator.

The numerator (top number) tells you how many parts you have.  The denominator (bottom number) tells you the total number of possible parts.  Another way to look at this is that the denominator tells you how many parts are in a whole.  For instance, if a pizza is sliced into 8 equal parts, that is the number in the denominator.  If you eat two slices of pizza the numerator would be 2.  The fraction would be written .

 

MULTIPLYING FRACTIONS 

AUDIO

Multiplying fractions is easy!

THE RULE:

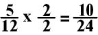
Simply multiply the top numbers, and then multiply the bottom numbers.  The denominators do not need to be the same.

EXAMPLES: 
 

Let’s try a couple problems together!

Practice 1: 
 

Practice 2: 
 

AUDIO

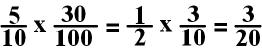
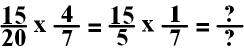
Sometimes when you are multiplying fractions the numbers are large and difficult to calculate in your head, so we find ways to make it easier.

EXAMPLE: 
 

In this example there are two ways I can simplify these terms.

  1. I can divide the numerators and denominators in each of the fractions by the same number.  My goal is always to think of the largest number I can use to divide both terms.

In the fraction , I can divide both numbers by 5. 
 

In the fraction , I can divide both numbers by 10. 
 

Now it is easier for me to multiply these fractions! 
 

  1. Another way to simplify this problem is to follow the above procedure with one numerator and the other denominator.

  

The numbers 10 and 30 can both be divided by 10.  In this case, both 5 and 100 can be divided by 5. 
 

Why can we do this?  This can be done because the numbers cancel each other out.  Let me show you how. 
 

AUDIO

Let’s try a couple problems together!

Practice 3: 
 

There is no integer (whole number) that I can divide both the numerator and the denominator of either fraction.  However, I can take the numerator of one fraction and the denominator of the other fraction and simplify.

The 5 in the numerator of the first fraction and the 5 in the denominator of the second fraction can both be divided by 5.  
 

The 4 in the numerator of the second fraction and the 12 in the denominator of the first fraction can both be divided 4.  
 

Now it is easy for me to multiply these fractions!  
 

 

Practice 4: 
 

I can divide both the numerator and the denominator of the first fraction by 5.  There is no integer (whole number) that I can divide both the numerator and the denominator of the second fraction. 
 

Now the multiplication of the two fractions is easier! 
 

I can further simplify this equation by using the numerator of second fraction and the denominator of the first fraction.  Both of these numbers (4 and 4) can be divided by 4.  There no integer (whole number) that I can divide both the first numerator and the second denominator (3 and 7). 
 

I could have also simplified the original equation by using the numerator of second fraction and the denominator of the first fraction.  Both of these numbers (4 and 20) can be divided by 4.  There no integer (whole number) that I can divide both the first numerator and the second denominator (15 and 7). 
 


I can further simplify this equation by simplifying the first fraction by dividing both 15 and 5 by 5.  There is no integer (whole number) that I can divide both the numerator and the denominator of the second fraction. 
 

Now it is easy for me to multiply these fractions!  
 

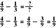
Practice 5: 
 

There is no integer (whole number) that I can divide both the numerator and the denominator of either fraction.

Note:  In each fraction, one of the numbers is odd and the other is even.

However, I can take the numerator of the second fraction and the denominator of the first fraction and simplify.  Both can be divided by 2. 
 

Again the multiplication of the two fractions is easier! 
 

 

DIVIDING FRACTIONS 

AUDIO

Dividing fractions is also simple!

THE RULE:

Take the reciprocal of the second fraction and multiply it to the first fraction.  The reciprocal of a fraction is the numerator and denominator flipped. 
 

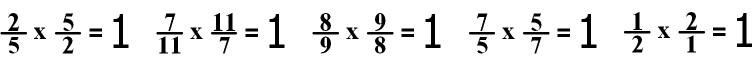
Note:  A fraction multiplied by its reciprocal equals 1! 
 

EXAMPLES: 
 

Let’s try a couple problems together!

Practice 1: 
 

Practice 2: 
 

ADDING AND SUBTRACTING FRACTIONS 

AUDIO

Addition and Subtraction are opposite operations.

Addition means to group things together.

Subtraction means to take something away from a group.

Addition and Subtraction follow the same rule for working with fractions.

THE RULE:

You can only add or subtract fractions that have the same denominator (bottom number). 

EXAMPLES: 
 

If both of the fractions you are trying to add or subtract have the same denominator (bottom number), for your answer you keep the same denominator (bottom number) and add or subtract the two top numbers (the numerators).

This is all there is to adding or subtracting fractions!  The next section will teach you what to do when the denominators are not the same.

 

How to Make Denominators the Same

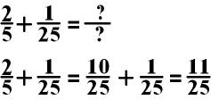
Often you are asked to add or subtract denominators that are different.  Since the denominators must be the same in order to perform the operations of addition or subtraction, you must convert one or both of the fractions.

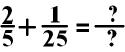
EXAMPLE: 

In the above equation, I would choose to change 2/5 into a fraction with 25 in the denominator.  I would do this by multiplying both the numerator and denominator by 5. 
 

Why can I do this?  I can do this because I have not changed the value of the fraction, but I have changed the way the fraction looks.  I have not changed the value because 5/5 equals 1.  One times any number equals that number.

Examples: 

1 x 3 = 3

19 x 1 = 19

9 x 1 = 9

79 x 1 = 79 

Back to the original equation: 
 


 

Let’s try some conversions together! 

AUDIO


Practice 1: 
 

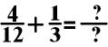
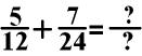
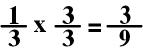
In the above equation, I would choose to change 5/12 into a fraction with 24 in the denominator.  I would do this by multiplying both the numerator and denominator by 2. 
 

Practice 2: 
 

In the above equation, I would choose to change 1/3 into a fraction with 9 in the denominator.  I would do this by multiplying both the numerator and denominator by 3. 
 


Practice 3: 
 

You can also use division to convert a fraction, however, both the numerator and the denominator must be divisible by the number.

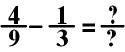
In the above equation, I would choose to change 4/12 into a fraction with 3 in the denominator.  I would do this by dividing both the numerator and denominator by 4. 
 

Practice 4: 
 

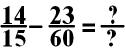
In the above equation, I would choose to change 14/15 into a fraction with 60 in the denominator.  I would do this by multiplying both the numerator and denominator by 4. 
 

What if there is no number to multiply one of the denominators to change to the other denominator?  You can multiply the first fraction by the denominator of the second fraction and multiple the second fraction by the denominator of the first fraction.

Practice 5: 
 

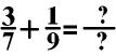
In the above equation, you multiple the first fraction 3/7 by 9/9 and the second fraction 1/9 by 7/7. 
 


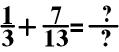
Practice 6: 
 

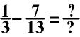
In the above equation, you multiple the first fraction 1/3 by 13/13 and the second fraction 7/13 by 3/3. 
 

Practice 7: 
 

In the above equation, you multiple the first fraction 11/12 by 7/7 and the second fraction 5/7 by 12/12. 
 

 

Practice 8: 
 

In the above equation, you multiple the first fraction 1/3 by 13/13 and the second fraction 7/13 by 3/3. 
 

Notice that the answer is a negative fraction.  The rules for adding and subtracting whole numbers also apply in these operations with fractions.  13 – 21 = (13) + (-21) = -8

When trying to add two numbers with different signs, you subtract the smallest from the largest and take the sign of the largest.

 

MIXED NUMBERS AND IMPROPER FRACTIONS 

AUDIO

What is a Mixed Number?  A Mixed Number has an integer and a fraction.

EXAMPLES: 
 

Sometimes we cannot perform the operations of addition and subtraction with mixed numbers because the denominators of the fractions are not the same.  I can add or subtract integers.  I can also add or subtract fractions with the same denominator.

We can never perform the operations of multiplication and division with mixed numbers, so we must change them to improper fractions. 

What is an Improper Fraction?  An Improper Fraction is a fraction in which the numerator is larger than or equal to the denominator.

EXAMPLES: 
 

You convert a mixed number to an improper fraction by multiplying the integer by the denominator and adding that value to the numerator.

EXAMPLES:  Mixed Numbers à Improper Fractions 
 

Now try converting a few mixed numbers to improper fractions!

Practice 1: 
 

AUDIO


You can convert an improper fraction to a mixed number or an integer, easily by dividing the numerator by the denominator.

EXAMPLES:  Improper Fractions à Mixed Numbers 
 

Now try converting a few improper fractions to mixed numbers!

Practice 2: 
 

AUDIO

The preferred way of expressing fractions is simplest form.  In the next section, I will teach you to simplify fractions.

A Mixed Number is acceptable, as long as the fractional part is expressed in its simplest form.

We do not want improper fractions for answers.  We only use improper fractions for calculations.

 

CONVERTING AND SIMPLIFYING FRACTIONS 

AUDIO

In the previous examples of how to add, subtract, multiply and divide fractions, I did not focus on reducing the answer to its simplest form.  I will now teach you to simplify fractions.

An Equivalent Fraction is a fraction of the same value that looks different.

EXAMPLES: 
 

In each group of fractions above, each fraction represents the same amount (the value is the same), but looks different (are comprised of different numbers).  The first fraction of each group is the simplest form.  It is not the simplest form because the numerators are one.  It is the simplest form because the numerators and the denominators cannot be divided by any common number.

There are several ways to convert and simplify fractions.

  1. You can divide both the numerator and the denominator by the same number to reduce a fraction.  This method will lead you to the simplest form.
  2. You can multiply both the numerator and the denominator by the same number to find an equivalent fraction.  This method is used to convert a fraction to a different denominator so that you can add or subtract.  Remember, you cannot add or subtract fractions that do not have the same denominator.  This method was discussed in the section “How to Make Denominators the Same”.
  3. You can find the Greatest Common Factor (GCF), which is the largest integer that is a common factor of both the numerator and the denominator.  Divide both the numerator and the denominator by this number to simplify a fraction.  If you need help finding the GCF, listen to the lesson on Factoring.
  4. You can find the Least Common Multiple (LCM), which is the smallest integer that is divisible by both the numerator and denominator.  The Least Common Denominator (LCD) can be used to convert the denominators of two fractions so that you can add or subtract them.  If you need help finding the LCM or LCD, listen to the lesson on Factoring.

Note: Integers can be converted to fractions by placing them over 1.  (2 = 2/1      15 = 15/1)

Let me show you how I quickly simplify a fraction using division! 
 

The first thing I do is determine whether the denominator can be divided by the numerator.  If so, this is the quickest way to the simplest form.  60 can be divided by 20, so I divided both the numerator and the denominator by 20. 
 

The first thing I do is determine whether the denominator can be divided by the numerator.  If so, this is the quickest way to the simplest form.  45 can be divided by 15, so I divided both the numerator and the denominator by 15. 
 

The first thing I do is determine whether the denominator can be divided by the numerator.  If so, this is the quickest way to the simplest form.  49 can be divided by 7, so I divided both the numerator and the denominator by 7. 
 

The first thing I do is determine whether the denominator can be divided by the numerator.  140 cannot be divided by 60 evenly giving me a whole number.  Next I find the biggest number I can think of that I can divide both the numerator and the denominator.  I’ve chosen the number 10.  I need to simplify further, because I can see that both of these numbers are even and, therefore, can be divided by 2.  Three-sevenths is the simplest form because there are no more whole numbers that I can divide each of these numbers by.  Both of these are prime numbers.

Note:  A Prime Number is a whole number greater than one that can only be divided by 1 and itself.  (2, 3, 5, 7, 11, 13, 17, 19…) 
 

The first thing I do is determine whether the denominator can be divided by the numerator.  88 cannot be divided by 30 evenly giving me a whole number.  Next I find the biggest number I can think of that I can divide both the numerator and the denominator.  I couldn’t think of a large number, but I see that both numbers are even, so they both can be divided by 2.   I can’t simplify further because 15 can only be divided by 3 and 5.  44 cannot be divided by either 3 or 5, so there are no more common factors.  

Now you try to simplify some fractions!

Practice: 
 

AUDIO

CONVERTING FRACTIONS TO DECIMALS 

AUDIO

There are two methods for converting fractions to decimals.

  1. Method 1 – To convert a fraction to a decimal, find an equivalent fraction whose denominator is a power of 10.

(10, 100, 1,000…)  Then write in decimal form.

  1. Method 2 – To convert a fraction to a decimal divide the numerator by the denominator, and round to the decimal place asked for, if required.

 

IMPORTANT NOTE:  Fractions are division equations!  The numerator is being divided by the denominator! 

 

Examples – Method 1: 
 

 

Examples – Method 2: 
 

This is my preferred method, especially if I can use a calculator!

Practice: 
 

AUDIO

 

COMPARING FRACTIONS 

AUDIO

If the denominators are the same, the fraction with the largest numerator is the largest fraction. 
 

If the numerators are the same, the largest fraction is the one with the smallest denominator.  The whole sectioned into the fewest parts has the largest parts. 
 

If the numerators and denominators are not the same, change one or both of the numerators to the same numerator by multiplying (or dividing) by some number.  Remember to do the same thing to the denominator!  Whatever you do to one part of the fraction, you must do to the other part in order to maintain the value of the fraction.  You want to maintain the value of the fraction but change the way it looks for calculations.   
 

You can also use this procedure to make the denominators the same and then compare the numerators.

If the numerators and denominators are not the same, change one or both of the denominators to the same denominator by multiplying (or dividing) by some number.  Remember to do the same thing to the numerator!  Whatever you do to one part of the fraction, you must do to the other part in order to maintain the value of the fraction.  What you are doing is creating an equivalent fraction.  You want to maintain the value of the fraction but change the way it looks for computations.

Please try the following practice problems now. 

 

AUDIO

 

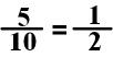
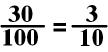
CROSS MULTIPLICATION 

AUDIO

What is Cross Multiplication?

Cross Multiplication is a way to check whether two fractions are equal.  It is also a way to set up and equation to find the value of one unknown (numerator or denominator), as long as you have the other three values. 
 

Solving for an Unknown 
 

 

Now you try these problems! 
 

AUDIO

 

COMPLEX FRACTIONS 

AUDIO

What is a Complex Fraction?

A complex fraction is a fraction whose numerator and/or denominator is also a fraction or mixed number. 

EXAMPLE A: 
 

EXAMPLE B: 
 

When working with complex fractions, if the numerator or the denominator is a whole number, convert the whole number to a fraction.

Note: Integers can be converted to fractions by placing them over 1.  (2 = 2/1      15 = 15/1)

EXAMPLE C: 
 

EXAMPLE D: 
 


 

FINAL PRACTICE!!! 
 

AUDIO

YOU ARE FINALLY FINISHED WITH THIS LESSON!

This lesson is extremely long!  I suggest you listen to this lesson over two to four days.  Learn one topic per day, if you have the time.  All of this can be learned in one day if necessary.   However, it is not advisable to try and jam new information into your brain for more than two hours.  You want to learn this material, not have temporary memory of these topics. 

Hopefully I was successful in teaching you to work with fractions.  Please go to the website blog and let me know.

The website address is www.mathbeast.com.

Copyright 2008 www.mathbeast.com. All rights reserved.